The Fast Linear Algorithm
for O(4) symmetry



Spins with four components: S=(Sx,Sy,Sz,Sw)
local field : hlocal=(hlocalx,hlocaly,hlocalz,hlocalw)
Energy=-S.hlocal=-hlocal.cos(x)
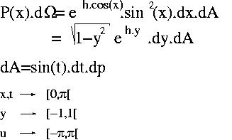
P(x)=e-Energy/T.sin2(x).sin(t).dx.dt.du
       =eh.cos(x).sin2(x).sin(t).dx.dt.du

The Fast Linear Algorithm (FLA) uses the rejection method with a function consisting of n steps (see the figure and article for more details)

Download the Fast Linear Algorithm:
1.  To use the Fast Linear Algorithm you must have :
2.  AND you must have the tables in the file "O4.res". Two choices: . You can choose to download the file O4.res already done or make one with create_O4.out (.exe for windows), run it, and follow the instructions.
  • O4.res   (380 Ko)
    h → [0,100[ with rate=85%
or
  • For LINUX, only one executable
    create_O4.out   (For LINUX, 450 Ko)
  • For WINDOWS copy these two programs in the same directory
    1. create_O4.exe   (For WINDOWS, 34 Ko)
    2. cygwin1.dll   (For WINDOWS, 950 Ko)

Download the Article:

Probabilities and Performances :
  • Figure: comparison of the time of simulation for various algorithms for the three dimensional antiferromagnetic triangular lattices.
    The critical temperature is shown by the squares
    The Fast Linear Algorithm (FLA) is the fastest of all algorithms proposed (9 times faster than the Metropolis Gaussian, MeG, at the critical temperature in this case). We can show more generally that another algorithm cannot be faster (see article).
    More...

Other Algorithms in C