The Alias Walker Hasting algorithm
for O(3) Phi4 spin model



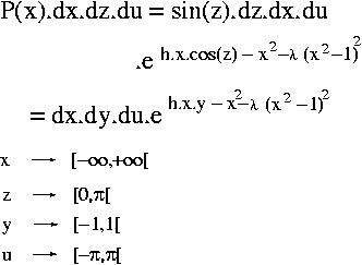
Spins with three components: S=(Sx,Sy,Sz)
local field : hlocal=(hlocalx,hlocaly,hlocalz)
Energy=-S.hlocal=-hlocal.x.cos(z)
P(x)=e-Energy/T.dx.dz.du
        = e h.x.y - x2- landa.(x2-1)2.dx.dy.du


The Alias Walker Hasting algorithm (AWH) uses the rejection method with a function consisting of n steps (see figures and article for more details)

Download the Alias Walker Hasting algorithm:
1.  To use the Alias Walker Hasting algorithm you must have :
2.  AND you must have the tables in the file "O3_Phi4_walker.res". Two choices: . You can choose to download the file O3_Phi4_walker.res already done or make one with create_O3_Phi4_walker.c.
or create_O3_Phi4_walker.c
To get a similar C Program for ONE variable: ../O2/O2_Alias_Walker.html

Download the Article:

Probabilities and Performances :
  • Figure: comparison of the time of simulation for various algorithms for the three dimensional ferromagnetic cubic lattices.
    The critical temperature is shown by the squares
    The Alias Walker Hasting algorithm (AWH) is the fastest of all algorithms proposed
    More...