The Fast Linear Algorithm
for O(3) symmetry
(Heisenberg spins)



Spins with three components: S=(Sx,Sy,Sz)
local field : hlocal=(hlocalx,hlocaly,hlocalz)
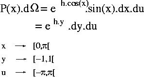
Energy=-S.hlocal=-hlocal.cos(x)
P(x)=e-Energy/T.sin(x).dx.du
       =eh.cos(x).sin(x).dx.du

The Fast Linear Algorithm (FLA) uses the rejection method with a function consisting of n steps (see the figure and article for more details)

Download the modified Heath Bath algorithm
The modified Heath Bath algorithm is the fastest algorithm for Heisenberg spins

Download the Fast Linear Algorithm:
1.  To use the Fast Linear Algorithm you must have :
2.  AND you must have the tables in the file "O3.res". Two choices: . You can choose to download the file O3.res already done or make one with create_O3.out (.exe for windows), run it, and follow the instructions.
  • O3.res   (380 Ko)
    h → [0,100[ with rate=85%
or
  • For LINUX, only one executable
    create_O3.out   (For LINUX, 450 Ko)
  • For WINDOWS copy these two programs in the same directory
    1. create_O3.exe   (For WINDOWS, 34 Ko)
    2. cygwin1.dll   (For WINDOWS, 950 Ko)

Download the Article:

Probabilities and Performances :
  • Figure: comparison of the time of simulation for various algorithms (Metropolis,Me, Direct Heat Bath, DHB, modified Heat Bath, DHB2and Fast Linear Algorithm, FLA) for the three dimensional antiferromagnetic triangular lattices (3t).
    The critical temperatures is shown by the squares
    The modified Heat Bath algorithm is the fastest. of all algorithms proposed (3 times faster than the Metropolis Me, at the critical temperature in this case).
    More...

Other Algorithms in C